Understanding the value of a stock is a fundamental step for any investor looking to make informed decisions. Stock valuation helps determine whether a stock is overvalued or undervalued, guiding investors toward better opportunities.
Studies show that as of 2023, nearly 45% of global investors rely on various stock valuation models, such as the Dividend Discount Model (DDM) and Discounted Cash Flow (DCF), to make their investment decisions.
What is Stock Valuation?
Stock valuation is the process of determining the intrinsic value of a company’s shares. It helps investors assess whether a stock is overvalued, undervalued, or fairly priced, guiding them toward better investment opportunities.
Unlike the market price, which fluctuates due to supply and demand, the intrinsic value is based on a company’s fundamentals—such as its earnings, growth potential, and risk factors. Accurate stock valuation is critical for making informed decisions, especially when identifying stocks that offer long-term growth or value investing opportunities.
What are the Key Stock Valuation Methods?
There are several methods used to assess the intrinsic value of a stock, such as the DDM method, DCF model, P/E ratio, and P/B ratio, each offering unique insights:
- Dividend Discount Model (DDM): This method values a stock based on the present value of its expected future dividends. It’s ideal for companies that pay regular dividends. The formula calculates the worth of these future cash flows, discounted to their present value.
- Discounted Cash Flow (DCF) Model: The DCF model estimates a stock’s value based on its expected future cash flows. Investors discount these cash flows to the present, considering the time value of money. This method is widely used for companies with predictable cash flows.
- Price-to-Earnings (P/E) Ratio: This simple valuation metric compares a company’s stock price to its earnings per share. It helps investors understand how much they’re paying for each rupee of a company’s earnings, making it a quick reference for stock valuation.
- Price-to-Book (P/B) Ratio: This method compares a stock’s price to its book value, providing insights into how much shareholders would receive if the company were liquidated today.
How to Use Valuation Formulas?
To determine a stock’s intrinsic value, investors can apply key valuation formulas like the Dividend Discount Model (DDM) and Discounted Cash Flow (DCF) Model. Here’s a quick guide on how to use these formulas effectively:
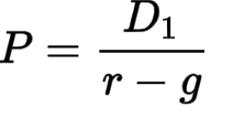
Dividend Discount Model (DDM)
The DDM formula is used for dividend-paying stocks. The formula is:

D1 – Expected dividend per share for the next year
r – Required rate of return
g – Dividend growth rate
To calculate, you need to estimate the next dividend, the company’s growth rate, and your desired return.
Discounted Cash Flow (DCF) Model
The DCF model calculates a stock’s value based on the present value of expected future cash flows:

CFt – Cash flow in year t
r – Discount rate (or required return)
Investors discount future cash flows back to the present value to determine whether a stock is undervalued or overvalued.
What is the Valuation of Closing Stock?
The value of closing stock is the total worth of unsold inventory, which is critical for determining a company’s gross profit. Valuing closing stock is essential for businesses to accurately reflect their inventory and financial health at the end of an accounting period.
There are several methods used to calculate the valuation of closing stock:
- First-In, First-Out (FIFO): This method assumes that the oldest inventory items are sold first, so the closing stock is valued at the most recent purchase prices.
- Last-In, First-Out (LIFO): Here, the newest inventory is sold first, and the closing stock consists of the oldest items, which could affect valuation during times of rising costs.
- Weighted Average Cost: In this method, the average cost of all inventory items is calculated, and that average is used to value the closing stock.
How to Spot Low Valuation Stocks?
To spot low-valuation stocks, investors should look for specific indicators that reveal stocks priced below their intrinsic value, suggesting strong potential for returns. Here are the key metrics to consider when identifying undervalued stocks:
- Low Price-to-Earnings (P/E) Ratio: A stock with a low P/E ratio compared to its industry peers may indicate that it’s undervalued. This suggests the stock could be trading at a lower price than its earnings potential.
- Low Price-to-Book (P/B) Ratio: A P/B ratio lower than 1 often signals that a stock is undervalued relative to its book value. This could mean the company’s assets are worth more than its current stock price.
- Discounted Cash Flow (DCF) Analysis: By calculating the present value of a company’s future cash flows, you can compare it to the current stock price. The stock may be undervalued if the DCF value exceeds the market price.
- High Dividend Yield: Stocks with a relatively high dividend yield might be undervalued if their dividend payments remain strong despite a lower market price.
| Action Insights : Spotting an Undervalued Stock in IndiaABC Tech Ltd., is a hypothetical Indian tech company. Trading at ₹500 per share with earnings per share (EPS) of ₹50, its Price-to-Earnings (P/E) ratio is 10, compared to an industry average of 15. This suggests that ABC Tech may be undervalued relative to its peers. The company’s Price-to-Book (P/B) ratio is 1.3, with a book value of ₹385 per share, reinforcing its modest valuation. With a solid profit margin of 20% and projected growth of 15%, ABC Tech is positioned well in India’s expanding tech sector. A Discounted Cash Flow (DCF) analysis reveals an intrinsic value of ₹600, indicating significant upside potential, making ABC Tech a compelling investment opportunity in the Indian market. |
What are the Common Mistakes in Stock Valuation?
To accurately assess stock valuation and make sound investment choices, it’s important to avoid common pitfalls that can lead to errors. Here are the most frequent mistakes to watch out for:
- Relying on a Single Valuation Method: Using just one method, such as the P/E ratio or DCF, can provide an incomplete picture of a stock’s value. It’s important to apply multiple methods to ensure a more balanced view.
- Ignoring Industry Comparisons: Failing to compare a stock’s valuation metrics with industry peers can lead to inaccurate conclusions. What may seem undervalued in isolation could be overvalued compared to competitors.
- Overlooking Growth Potential: Valuing a stock solely based on its current earnings without accounting for future growth can lead to missed opportunities. Consider both historical performance and future growth prospects.
- Not Adjusting for Market Conditions: Economic and market cycles can significantly affect stock valuations. Ignoring macroeconomic trends or broader market conditions can skew your valuation.
Summing Up How to Check Stock Valuation
Valuing a stock is key to making smarter, informed investment choices. Understanding a stock’s intrinsic value helps avoid the risk of investing in overvalued stocks, which can potentially lead to capital loss. Combining multiple valuation methods, such as the Discounted Cash Flow (DCF) Model and Price-to-Earnings (P/E) Ratio, gives you a clearer, more comprehensive view of a company’s worth.
Streetgains offers data-driven insights and research to make this process easier, equipping you with the tools needed to assess stock valuations confidently. With the right strategies and analysis, you can identify undervalued stocks, strengthen your portfolio, and maximise returns.
Disclaimer:
The content in this blog is intended for informational purposes only and does not constitute investment advice, stock recommendations, or trade calls by Streetgains. The securities and examples mentioned are purely for illustration and are not recommendatory.
Investments in the securities market are subject to market risks. Please read all related documents carefully before investing.
How To Check Stock Valuation FAQs:
To check a stock’s valuation, use valuation models like the Price-to-Earnings (P/E) ratio, Dividend Discount Model (DDM), or Discounted Cash Flow (DCF) to determine whether the stock is overvalued or undervalued based on its intrinsic worth.
Stock valuation can be calculated by using various models, including the DCF model, which discounts future cash flows, or the DDM, which is based on expected future dividends.
The DDM is a valuation method that estimates a stock’s value based on future dividends, making it particularly useful for dividend-paying companies.
The DCF model calculates a stock’s intrinsic value by discounting its projected future cash flows back to present value, based on a required rate of return.
To calculate stock price using DCF, estimate future cash flows, discount them to present value using a chosen rate, then sum these values to determine the stock’s intrinsic worth.
DDMis best for valuing dividend-paying stocks, while DCF is more versatile and suited to companies with predictable cash flows. The choice depends on the company’s financial characteristics.
DCF is widely preferred because it factors in future cash flows and provides a comprehensive view of a stock’s intrinsic value, making it adaptable across different types of companies.
FAQs:
-
1. How to earn money daily from trading?
Earning money daily from trading involves strategies like day trading, where traders capitalise on small price movements within the same day. Success requires real-time market analysis, quick decision-making, and risk management.
-
2. How to earn money from equity trading?
To earn money from equity trading, you need to buy stocks at a lower price and sell them at a higher price. Success depends on researching companies, analysing stock trends, and using technical or fundamental analysis.
-
3. How to earn money from share trading in India?
In India, share trading offers profit potential through buying and selling stocks on exchanges like the NSE and BSE. To maximise returns, traders should use market research, tools like technical analysis, and risk management strategies.
-
4. How to make money from share trading in India?
Making money from share trading involves selecting the right stocks, timing the market, and implementing trading strategies like swing trading or day trading while staying informed about market trends.
-
5. How to transfer money from a trading account to a bank account?
To transfer money from your trading account to your bank, log into your trading platform, navigate to the funds section, and initiate a withdrawal request. The money will typically be credited to your linked bank account in 1 to 3 days.
-
6. How to withdraw money from a trading account?
You can withdraw funds by logging into your trading account, selecting the withdrawal option, and selecting the amount to transfer to your bank account. Ensure your bank account is linked and follow any steps your broker requires.
Want Daily Stock Recommendations That Are Generated By Our Analysts ?
Join 3 Lakh+ Investors who have tried our Services



